12년 전 오늘, 오전 10시의 나와 대화하고 싶어. +++++++ 12년 전 오늘, 오전 10시의 내가 입장하셨습니다. ++++++++++++...
들어가며 국방 분야에서는 다양한 기술이 종합적으로 활용되며, 국방 분야의 기술이 민간 분야의 기술 발전을 이끌기도 한다. 특히,...
인공지능에 대한 관심도가 높아지면서, 관련 기술을 보유하고 있지는 못하지만 외부의 힘을 빌려서라도 자신의 비즈니스에 인공지능 기술을 적용해...
벌써 5년 전이다. 내가 창업한 지 얼마 안되어서 서울과 대전을 수없이 해매고 다닐 때다. 서울 왔다 가는...
본 포스트의 내용은 2019년에 문화재정책연구원의 의뢰로 작성한 보고서에 포함된 내용입니다. 보고서는 문화재돌봄사업 홈페이지(아래의 외부링크)에서 다운로드 받으실 수...
정도의 차이는 있겠지만, 사람은 누구나 지우고 싶은 기억이 있다. 만약, 먼 훗날에 기술이 매우 발달하여, 지우고 싶은...
사랑하는 사람과 이별한 지수는 며칠동안 식음을 전폐하다가 최후의 수단으로 정신외과를 찾아갔다. “특정 기억을 지우는 시술을 해 드릴...
사건ID-EV890342는 비교적 작은 화재입니다. 도심 내 5층 건물 빌라 옥상에서 발생한 화재이며, 인공지능 컨트롤들이 성공적으로 진화 및...
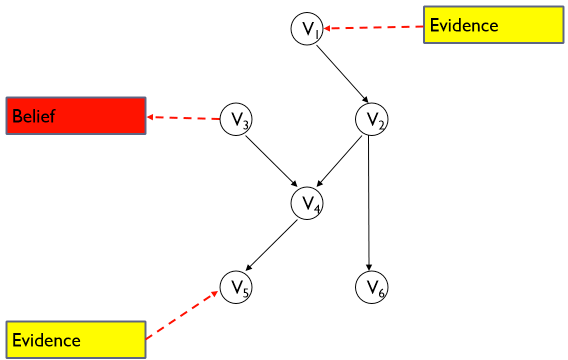
딥러닝 기반의 모델들이 주목을 받기 전에는 Support Vector Machine, Decision Tree (Random Forest), Bayesian Networks 등과 같은...
“2014년 이후의 뉴스 기사들을 토대로 추출해 본 3가지 관점에서의 기술의 변화 흐름은 다음과 같다. (1)의 흐름은 brain...